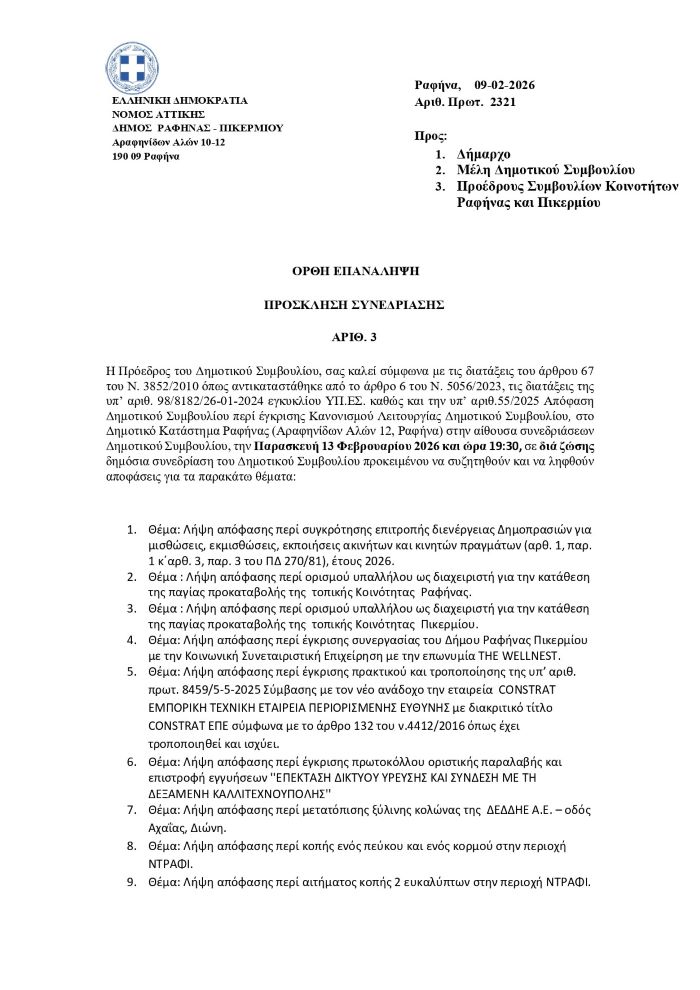
ΔΗΜΟΤΙΚΟ ΣΥΜΒΟΥΛΙΟ ΡΑΦΗΝΑ - ΠΙΚΕΡΜΙΤΟΠΙΚΑ ΝΕΑΤΟΠΙΚΗ ΚΟΙΝΩΝΙΑ Λιγότερο από 1 λεπταΑνάγνωση To Δημοτικό Συμβούλιο Ραφήνας Πικερμίου συνεδριάζει την Παρασκευή 13 Φεβρουαρίου για 21 θέματα 10 Φεβρουαρίου, 2026 FacebookTwitterPinterestWhatsApp Πρόσκληση Δημοτικού Συμβουλίου – Παρασκευή 13 Φεβρουαρίου TagsΔημοτικό συμβούλιο Ραφήνας Πικερμίου Αυτή την εβδομάδα ΔΙΑΦΟΡΑ Κώστας Τσουκαλάς: “Εγκέφαλος κι εμπνευστής της τοξικότητας και του πολιτικού φανατισμού, είναι ο ίδιος ο πρωθυπουργός”, 17 Απριλίου, 2026 0 Για επίθεση σε βάρος της δημοκρατίας με κάθε πράξη... ΔΙΑΦΟΡΑ Ωνάσεια Σχολεία: Εξετάσεις και χρονοδιάγραμμα διαδικασίας εισαγωγής για την επόμενη σχολική χρονιά 17 Απριλίου, 2026 0 Μια εβδομάδα μας χωρίζει από τις διαδικασίες για την... ΠΟΛΙΤΙΣΜΟΣ ”Gran Torino” από την Κινηματογραφική Λέσχη Ραφήνας Πικερμίου 17 Απριλίου, 2026 0 GRAN TORINO ΣΤΗΝ Κινηματογραφική Λέσχη Ραφήνας Πικερμίου Μια από τις... ΡΑΦΗΝΑ - ΠΙΚΕΡΜΙ Προσοχή! Τα φανάρια στην διασταύρωση Ραφήνας είναι εκτός λειτουργίας 17 Απριλίου, 2026 0 Προσοχή πρέπει να επιδείξουν οι οδηγοί διότι τα φανάρια... ΡΑΦΗΝΑ - ΠΙΚΕΡΜΙ Σοκ στην Κόρινθο: Νεκρή 17χρονη εντοπίστηκε να επιπλέει στη Διώρυγα 17 Απριλίου, 2026 0 Ένα τραγικό περιστατικό έχει βυθίσει στο πένθος την τοπική... ΝΕΑ ΔΙΑΦΟΡΑ Κώστας Τσουκαλάς: “Εγκέφαλος κι εμπνευστής της τοξικότητας και του πολιτικού φανατισμού, είναι ο ίδιος ο πρωθυπουργός”, 0 Για επίθεση σε βάρος της δημοκρατίας με κάθε πράξη... ΔΙΑΦΟΡΑ Ωνάσεια Σχολεία: Εξετάσεις και χρονοδιάγραμμα διαδικασίας εισαγωγής για την επόμενη σχολική χρονιά 0 Μια εβδομάδα μας χωρίζει από τις διαδικασίες για την... ΠΟΛΙΤΙΣΜΟΣ ”Gran Torino” από την Κινηματογραφική Λέσχη Ραφήνας Πικερμίου 0 GRAN TORINO ΣΤΗΝ Κινηματογραφική Λέσχη Ραφήνας Πικερμίου Μια από τις... ΡΑΦΗΝΑ - ΠΙΚΕΡΜΙ Προσοχή! Τα φανάρια στην διασταύρωση Ραφήνας είναι εκτός λειτουργίας 0 Προσοχή πρέπει να επιδείξουν οι οδηγοί διότι τα φανάρια... ΡΑΦΗΝΑ - ΠΙΚΕΡΜΙ Σοκ στην Κόρινθο: Νεκρή 17χρονη εντοπίστηκε να επιπλέει στη Διώρυγα 0 Ένα τραγικό περιστατικό έχει βυθίσει στο πένθος την τοπική... ΡΑΦΗΝΑ - ΠΙΚΕΡΜΙ Δήμητρα Τσεβά για φιλοζωϊκή Πήγασος: Δεν διστάζουν να εργαλειοποιήσουν ένα τόσο ευαίσθητο θέμα για λίγα λεπτά δημοσιότητας 0 H Δήμαρχος Ραφήνας Πικερμίου Δήμητρα Τσεβά ανήρτησε το κείμενο... ΤΟΠΙΚΑ ΝΕΑ Revoil Νικολάου – Πικέρμι: Απόλυτη καθαριότητα & λάμψη για το αυτοκίνητο 0 Αν η σκόνη στο αυτοκίνητό σας είναι… απαγορευτική, τότε... ΔΙΑΦΟΡΑ Ανησυχία για τις πικροδάφνες σε σχολεία και παιδικές χαρές – Οδηγίες του ΕΟΔΥ σχετικά με τη δυνητική τοξικότητά τους 0 Ανησυχία έχει προκαλέσει το τελευταίο διάστημα το ζήτημα της... RPN.GR ”Gran Torino” από την Κινηματογραφική Λέσχη Ραφήνας Πικερμίου ΠΟΛΙΤΙΣΜΟΣ 17 Απριλίου, 2026 Προσοχή! Τα φανάρια στην διασταύρωση Ραφήνας είναι εκτός λειτουργίας ΡΑΦΗΝΑ - ΠΙΚΕΡΜΙ 17 Απριλίου, 2026 Σοκ στην Κόρινθο: Νεκρή 17χρονη εντοπίστηκε να επιπλέει στη Διώρυγα ΡΑΦΗΝΑ - ΠΙΚΕΡΜΙ 17 Απριλίου, 2026 Δήμητρα Τσεβά για φιλοζωϊκή Πήγασος: Δεν διστάζουν να εργαλειοποιήσουν ένα τόσο ευαίσθητο θέμα για λίγα λεπτά δημοσιότητας ΡΑΦΗΝΑ - ΠΙΚΕΡΜΙ 17 Απριλίου, 2026 Revoil Νικολάου – Πικέρμι: Απόλυτη καθαριότητα & λάμψη για το αυτοκίνητο ΤΟΠΙΚΑ ΝΕΑ 17 Απριλίου, 2026 ΕΙΔΗΣΕΙΣΡΑΦΗΝΑ - ΠΙΚΕΡΜΙΑΘΛΗΤΙΚΑΜΑΡΑΘΩΝΑΣ - ΝΕΑ ΜΑΚΡΗΕΚΔΗΛΩΣΕΙΣΤΟΠΙΚΗ ΚΟΙΝΩΝΙΑΔΙΑΦΟΡΑ Προηγούμενο άρθροΚαιρός: Βροχές και καταιγίδες τουλάχιστον μέχρι την Παρασκευή – Οι προειδοποιήσεις των μετεωρολόγωνΕπόμενο άρθροΤα ζώδια σήμερα 10/2